2025年 9月24日 価格改定しました。
改定前:767,800円
改定後:700,700円
改定前:767,800円
改定後:700,700円
約6117万画素のIMX455フルサイズフォーマットカラーセンサー搭載!16bitADC、外気温から最大で-35℃の強力冷却!
納期予定:受注後 約3ヶ月
※納期は流動的なため目安となります。
※お支払いは商品のご用意ができた時点(商品発送時)とさせていただきます。
ZEUS 455M Pro の主な特長
SONY製IMX455センサー搭載
- IMX455はSONY製の6117万画素フルサイズフォーマットセンサーです。1画素あたり3.76μmの微細なピクセルピッチによって高解像度な画像を得られます。
- 裏面照射型のSTARVISテクノロジーを搭載し、モノクロカメラで最大約91%、カラーカメラで最大約80%の極めて高い量子変換効率と低読み出しノイズを実現しています。また、光の情報をデジタル信号に変換するADCは高分解能な16bitを搭載しており、星間分子雲のようなごく淡い天体のわずかな階調差も記録することができます。

最大71.6Ke-の飽和電荷容量
- Player Oneの独自のチューニングにより、IMX455のカタログスペックでは51ke-の飽和電荷容量(FullWell)を71.6ke-まで拡張しています。低gainの時は輝度差の大きな対象を撮影しても白飛びしにくく、表現の幅がより広がります
豊富な階調表現が可能な16bitADC搭載
- ZEUSシリーズでは、センサーからのアナログ信号をデジタルに変換するコンバーター(ADC)に16bitの高分解能なものを使用しています。12bitADCの16倍、14bitADCの約4倍の高い分解能を持ち、センサーから出力されるごくわずかな階調差も精密に記録します。

合理的な筐体設計
- 唯一無二の八角形の特徴的ボディは、見た目の美しさだけではなく、カメラを取り扱う上でも使いやすい工夫に溢れています。美しい天体写真を撮影する際、東西南北の軸に対するセンサーの長辺、短辺の直交性は重要です。ZEUSのボディにはセンサーの辺に対応する位置にボディの平面があり、セッティングや構図の変更時に、容易に角度を合わせることができます。
- また、望遠鏡との接続部分は円形になっており、一部のプライムフォーカス鏡筒に使用した際に回折光を円形に保ち、星像に与える遮蔽の影響を最小限にとどめる効果が期待できます。

ノンアンプグロー機能
- センサーや回路から発生する熱や赤外線によるカブリを押さえ、長時間露光の写真でも高いクオリティを得られる「ノンアンプグロー」機能が付いています。
ZEUS 455M Pro gain=300, offset=5, 冷却=-5℃ ダーク画像
デュアルTEC冷却システム
- 2つの冷却素子(TEC)と気密性・断熱性に優れたチャンバーで、センサーを効率的に冷却し、最大で外気温-35℃〜-40℃の極めて高い冷却効果を得ることができます。
- ヒートシンクの排熱ファンはASCOMドライバー上から回転速度を0〜100%の間で微調整できます。回転速度を落とすことで消費電力と作動音を低減することができます。

DPS(デッドピクセルサプレッション)機能
- ホットピクセルやクールピクセルといった撮影に不要なデッドピクセルを自動的に取り除くことで、ダーク減算を行わなくてもクオリティの高い画像を得ることができます。

先進的なUSB Type-Cを採用
- カメラとパソコンの接続にはUSB-AやUSB-Bより先進的な規格であるUSB3.0 Type-Cを使用します。USB Type-Cにはコネクターの裏表の区別がなく、迅速で確実な接続が可能です。オートガイダーなどのアクセサリー用のポートも用意されており、接続にはUSB2.0 Type-Cを使用します。

DDR3 512MBキャッシュメモリ搭載
- 本体内部に512MBのDDR3キャッシュメモリを搭載しています。フレームのドロップを回避し、読み出しを安定させることで読み出しノイズを減らす効果があります。
取扱いやすいセンサーチルトプレート
- カメラを望遠鏡に取り付けた状態でも簡単に操作ができるチルトプレート形状を採用。各辺に対応した位置に調整ネジがあり、スケアリングの調整に際してより直感的に傾きを修正することができます。チルトプレートと本体の間には遮光性に優れたシェーディングパッドが装着されており、隙間からの迷光の心配はありません。
過電流・過電圧保護システム
- DC12V電源ポートやUSBから供給される電源に異常が生じた場合、回路の破損を防ぐための保護システムが内蔵されています。
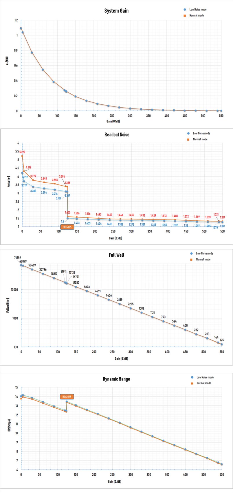
2種類の画素読み出しモード
- ZEUSシリーズのカメラにはNormalモードとLowNoiseモードの2種類の異なる特性を持った画素読み出しモードが搭載されています。LowNoiseモードでは読み出しノイズが大幅に低減され、長時間露光時により低ノイズな画像を得ることができます。

| 主な仕様 | |
|---|---|
| 商品名 | ZEUS 455M Pro |
| センサー | SONY IMX455 裏面照射型CMOSセンサー |
| フォーマット | フルサイズ(36mm×24mm) |
| 解像度 | 9576×6388(約6117万画素) |
| ピクセルピッチ | 3.76μm×3.76μm |
| シャッター | ローリングシャッター |
| シャッター速度 | 32μs〜2000s |
| QE | 最大約 91% |
| 飽和電荷容量 | 71.6ke- |
| ADC | 16bit |
| 読み出しノイズ | 4.2〜1.27e- |
| HCGモード | 対応(125〜) |
| FPS | 解像度/10bit ADCモード/16bit ADCモード 9576×6388/6.5FPS/3.2FPS 3840×2160/47FPS/11FPS 1920×1080/105FPS/22FPS 800×600/184FPS/39FPS |
| 冷却方式 | デュアルTECクーラー |
| 冷却能力 | 外気温-35℃±2℃ |
| 電源 | DC12V3A |
| 電源ポート | 外径φ5.5mm 内径φ2.1mm センタープラス |
| 動作外気温 | -10℃ 〜 60℃ |
| 動作湿度 | 0% 〜 80% |
| 保護ガラス | ARコートクリアガラス(直径φ55mm/厚さ2mm) |
| フランジバック | 17.5mm/12.5mm(チルトプレート取り外し時) |
| データポート | メインケーブルUSB3.0(Type-C)、アクセサリーUSB2.0(Type-C) |
| デバイスポート | USB2.0(Type-C) |
| 内部キャッシュ | 512MB DDR3 |
| 接続規格 | M54 P0.75mm/M48 P0.75m(M54-M48変換リング付属)/ 50.8mm差し込み |
| 質量 | 約 650g |
| 筐体直径 | 90 mm |
| 対応OS | windows 7,8,10,11 |
| 付属品 | カメラ本体、USB3.0Type-C to Aケーブル(2m)、USB2.0Type-C to Cケーブル(0.4m)、USB2.0Type-C to Aケーブル(0.4m)、六角レンチ、セミハードケース、ハンドブロワー、M54-M54 17.5mm、アダプター、M54-M48 20mmアダプター、M54-M54 20mmアダプター、M54-M48変換リング、ケーブルバンド、予備ネジ |
営業カレンダー
- ■今日
- ■店舗営業:14時〜19時
- ■店舗営業:11時〜17時
★実店舗営業は週4日間となります。
--------------
水〜金曜日 14-19時
土曜日 11-17時
日、月、火曜日 休業日
※祝日も曜日ごとの営業時間に従います。
--------------
★お電話は上記時間内に承ります。
★メールは火〜土曜日にご返信させていただきます。
★ネットショップからのご注文は24時間承ります。
(システムメンテナンス時を除く)
商品紹介
お店からのお知らせ
ご質問等
関連ページ
カテゴリから探す


























